Using my STO-4G curve fit for N = 4 basis Gaussian type 1s orbitals I was able to get better results than found using the N = 3 basis wavefunctions in the graduate-level textbook Modern Quantum Chemistry Introduction to Advanced Electronic Structure Theory by Attila Szabo and Neil S. Ostlund. My recreation for N = 3 discovered -2.97867 atomic units ground state energy for the helium-hydrogen ion and -1.11651 atomic units for the hydrogen molecule using the textbook’s basis wavefunctions. The percentage errors were 3.98002% and 4.15928% respectively. My STO-4G basis wavefunctions found a ground state energy for the helium-hydrogen ion of -2.94937 atomic units and for the hydrogen molecule -1.14344 atomic units, which have percentage errors of 0.98349% and 2.86607% respectively.
Category: Elementary Physics
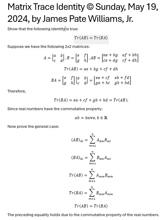
Blog Entry (c) Friday, October 18, 2024, by James Pate Williams, Jr. Ab Initio Quantum Chemical Calculation
On Wednesday, October 16, 2024, I bought an Amazon Kindle book named “Modern Quantum Chemistry: Introduction to Advanced Electronic Structure Theory” by Attila Szabo and Neil S. Ostlund. It cost me $10.69 which is a real bargain. In Appendix B there is a listing for a FORTRAN program to perform an ab initio Hartree-Fock Self Consistent Field calculation for a two-electron heteronuclear molecule namely the helium-hydrogen cation. I successfully translated the program from FORTRAN to C++. I had to remember that FORTRAN stores matrices in column major order and C/C++ stores matrices in row major order. I took the transposes of two FORTRAN COMMON matrices to get the correct C++ storage. The authors of the book did an extensive treatment of the test calculation. The application is only 823 lines of monolithic C++ source code. I used FORTRAN like array indexing starting at 1 instead of the C initial beginning index of 0. I think I will try to get in touch with the authors to get permission to post the source code and results on my blog.
P. S. I got permission from Dover Books to publish my source code and results. I think I will reconsider posting the C++ source code. The actual ground state energy of the cation is -2.97867. My calculation and the book’s computation are in percentage errors of about 4%. The book’s value is a little closer to the exact value than my result. The book calculation was done in FORTRAN double precision on a Digital Equipment Corporation PDP-10 minicomputer. My recreation of the book’s endeavor was executed on an Intel Itanium Core 7 and Windows 10 Professional machine using Win32 C++. The C++ compiler was from Microsoft Visual Studio 2019 Community Version.
Note I added a calculation for a homonuclear molecule, namely, the hydrogen diatomic molecule.
Blog Entry (c) Tuesday, October 15, 2024, by James Pate Williams, Jr. Nonlinear Least Squares Curve Fitting Example from Quantum Chemistry
Blog Entry (c) Monday, October 14, 2024, by James Pate Williams, Jr. Three Hydrogen Molecule Ion Integrals and Energy Values
References: https://web.stanford.edu/~oas/SI/QM/Atkins05.pdf See Example 8.1 The evaluation of overlap and Coulomb integral for the hydrogen molecule ion pages 255 – 256 https://www.physics.udel.edu/~jim/PHYS425_20S/Class%20Notes/Notes_8.pdf https://phys.libretexts.org/Bookshelves/Quantum_Mechanics/Introductory_Quantum_Mechanics_(Fitzpatrick)/13%3A_Variational_Methods/13.03%3A_Hydrogen_Molecule_Ion#fh2pa
Blog Entry (c) Friday, October 11, 2024, by James Pate Williams, Jr. The Einstein-de Sitter Universe
Blog Entry © Monday, October 7, 2024, by James Pate Williams, Jr. Recent Voyages into the World of Quantum Chemistry
Blog Entry © Saturday, October 5, 2024, by James Pate Williams, Jr. Multidimensional Integrals
Blog Entry © Thursday, October 3, 2024, by James Pate Williams, Jr. A Mixture of Numerical Analysis and General Relativity Physics
Blog Entry (c) Saturday, September 28, 2024, by James Pate Williams, Jr. New Iowa Ballistics Table
I created the following fast battleship Iowa class ballistics table using a single coefficient of form with the value 0.531. The ballistic coefficient is 19.86229.
For comparison use the actual October 1941 Iowa class ballistics tables:
https://eugeneleeslover.com/USN-GUNS-AND-RANGE-TABLES/OP-770-1.html
Blog Entry © Thursday September 26, 2024, by James Pate Williams, Jr. Atmospheric Air Density Two Models
I wrote a C# program to graph NASA’s Earth Atmospheric Model’s variation of air density with height in Imperial Units and the United States Navy’s air density altitude equation.
Earth Atmosphere Model – Imperial Units (nasa.gov)
The USN’s formula for density – altitude is found in “Exterior ballistics, 1935” by Lieutenant Commander Ernest Edward Herrmann who was an instructor at the United States Naval Academy.


